実験演習に入るまえに.....
解像特性(鮮鋭度の評価)の復習・おさらい
【解像度特性】
解像特性とは画像の鮮鋭さ(sharpness)を表す特性であり,光学伝達関数(optical transfer function:OTF)を用いて完全に表すことができる.
解像特性が優れているということは,ボケが少なく画像が鮮鋭であることを意味する.逆に,解像特性が劣っているとは,画像がボケて非鮮鋭であることを意味する(図1).
図1 解像特性の優劣
X線画像の形成過程において,X線画像がボケる原因には,X線管球の焦点寸法による半影,撮影中の被写体の動きによる不鋭,X線検出器のボケ,信号伝達・処理系,画像処理の効果,画像表示系のボケなど,多くの因子が関係している.その中で特に重要な因子は,X線検出器のボケである.例えば,増感紙-フィルム系でのX線検出器は増感紙とフィルムを重ねた構造をしており,X線が増感紙に当たると増感紙に塗布されている蛍光物質が吸収したX線のエネルギーを光として放出する(図2).
そしてその光がフィルム上の粒子(感光物質)に当たることでフィルムが感光し像が得られる.ここで,ボケの原因は,増感紙の蛍光物質の粒子の大きさとフィルムの感光物質の粒子の大きさに関係がある.つまり,増感紙の粒子の大きさがフィルムの粒子の大きさよりもはるかに大きいため発光した光が散乱しボケるのである.このようなX線検出器以外のボケの要因も,目的に応じて個々の解像特性を理解するためには大切である.
例えば,X線管球の焦点寸法(F)は,幾何学的な半影(P)として画像の不鋭に影響する(図3).被写体の拡大率をMとすれば画像上に現れる半影の大きさは
P=F×(M-1)
で計算できる.半影は,画像の鮮鋭さを低下させる要因となるため,用いるX線管球の焦点寸法の大きさを考慮して,拡大率を決定する必要がある.
![]() |
![]() |
|
図2 増感紙-フィルム系のX線検出器のボケの主原因
|
図3 X線管球の焦点寸法(F)による幾何学的な半影(P) 拡大率=(a+b)/a |
空間領域での解像特性評価方法
現在はこれらの空間領域での評価法よりも,レスポンス関数を使って定量的かつ客観的に空間周波数領域で解像特性を評価する方法が主流である.
復習:空間領域と空間周波数領域
空間領域と空間周波数領域は,同じものを異なる領域で表現したもので,両者はフーリエ変換対によって,一方が求まれば他方に変換できる.2つの領域の単位は,前者が長さの単位(mm)であり,後者は,正弦波の場合cycles/mm,矩形波の場合line pairs/mm(LP/mm)の単位で表される.空間領域での大きさと空間周波数は関係があり,例えば,1mmの大きさの物体は0.5cycle/mmの空間周波数,5mmの大きさの物体は0.1cycle/mmの空間周波数に相当する.
つまり,空間領域で小さな物体は高い空間周波数成分,逆に空間領域で大きな物体は低い空間周波数成分に対応する.増感紙-フィルム系で撮影したX線画像では,x,y平面上に黒化銀が分布している領域が空間領域である.これを,空間周波数領域で表示した場合,u,v軸上の各空間周波数でどれぐらいの成分をもつかを示すことになる(スペクトル分布)(図4).
図4 空間領域と空間周波数領域の関係
【広がり関数(spread function)】
広がり関数とは,非常に小さな領域の信号をシステムに入力したとき,その信号がどの程度広がって出力されるのかを示すもので,それ自体がシステムの解像特性を表している.
δ(デルタ)関数で表されるようなインパルスをシステムへの入力とすると,得られた広がり関数を二次元で表現したものを
point spread function:PSF(点広がり関数,または点像強度分布)という.
PSFが等方的なシステムでは,これを一次元で表すことが可能で,これを
line spread function:LSF(線広がり関数,または線像強度分布)という.
PSFとLSFおよび両者の関係を図5に示す.ここで注意したいのは,PSFの中心を通る断面がLSFではないことである.
LSFのある位置での値は,PSFの原点からx軸方向に同じ距離だけ離れた位置におけるy軸に平行な面の断面積に一致する(図5中の式).
高鮮鋭なシステムほどLSFの広がりが少ない.
図5 PSFとLSFおよび両者の関係
PSFの空間的な広がりの程度は,画像の最小な構成単位である点がどの程度ボケるかを表わす.
線形で位置不変なシステム*1)では,点広がり関数(PSF(x,y))とシステムへの入力信号(f(x,y))が分かっていれば,両者の重畳積分(convolution)により,画像の出力分布(g(x,y))を知ることができる.
これとは逆に,システムの広がり関数が既知のとき,画像の出力分布から入力X線分布を求める演算は,deconvolutionと呼ばれている.
広がり関数は,空間領域における解像特性であり,上述のconvolutionやdeconvolutionを行うときには煩雑な計算を必要とする.そこで,広がり関数にかわって空間周波数領域で解像特性を評価すれば解析が容易になる.具体的には,空間領域での2つの関数のconvolutionは,空間周波数領域では2つの関数をそれぞれフーリエ変換した結果の掛け算で表わすことができる.逆に,空間領域で掛け算の関係にある2つの関数は,空間周波数領域ではconvolutionで計算される.
*1) 線形で位置不変な画像システム:レスポンス関数を適応するために必要な前提条件
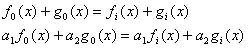
線形性とは,式に示すように,入力の線形和が出力の線形和に等しい性質を表わす.また,入力と出力をリニアスケールで表示したとき直線で示される.
多くの画像システムは非線形であり,増感紙-フィルム系においても,X線から光に変換される過程は線形であるが,光がX線フィルムを露光して黒化銀になる過程は非線形である.
したがって,X線から写真濃度に変換される系全体は非線形で,入出力の関係は直線では表わされない.そのため,増感紙-フィルム系において,システムのレスポンス関数,すなわちMTFを調べるときには,必ずフィルム特性曲線を用いて,非線形な写真濃度から線形なX線量の領域に変換(線形化)しなければならない.一方,位置不変性とは,画像上のどの場所においても同じPSFが得られる性質をいう(下式).
増感紙-フィルム系では,PSFは等方的であり,かつ,位置不変性も成りたつと考えられているが,ディジタル画像系では,離散的にデータを取り込むために,厳密な意味では位置不変性が成り立たない.
【レスポンス関数】
PSFの二次元フーリエ変換を行った結果は,空間周波数領域における信号伝達特性(レスポンス関数)を表わすもので,これをoptical transfer function:OTF(光学伝達関数)と呼んでいる.OTFは,複素関数で,その絶対値をmodulation transfer function:MTF(変調伝達関数or振幅伝達関数),位相成分をphase transfer function:PTF(位相伝達関数)という(図6).
図6 レスポンス関数の構成
MTFは電気系の周波数特性と同様に振幅の伝達特性を示すものである.電気系では入力信号より先に出力信号が生じず,必ず位相のズレを伴うためにMTFとPTF両方を考慮して評価を行う.一方,多くの画像システムでは,等方的な広がり関数(PSFでは原点対象,LSFでは左右対称)を示すことから,位相成分はゼロとなる.そのためPTFは考慮せず,MTFだけで解像特性を評価することが可能である.当然,広がり関数が等方的でない画像システムでは,OTFで評価を行う必要がある.
画像システムのMTFは空間周波数の関数であり,様々な空間周波数において解像特性がどのように変化するかを詳細に知ることができる.MTFのグラフの横軸は空間周波数(spatial frequency:cycles/mm)を,縦軸は各空間周波数におけるMTF値を0~1.0の数値で表わしている.
図7 MTFの意味
図8には,測定されたMTFの例として,X線フィルムのMTF,片面増感紙と片面乳剤フィルムを組み合わせたシステムのMTF,および2つの異なった解像特性をもつ両面増感紙と両面乳剤フィルムを組み合わせたシステムのMTFを示す.
図8 X線フィルムのMTFと3つの異なるシステムのMTF
この例から,X線フィルム自体のMTFは空間周波数が10cycles/mm付近まで1.0に近い値を示し,高い解像度を持っていることがわかる.しかし,増感紙とX線フィルムを組み合わせた場合,増感紙で散乱したX線の影響や,増感紙から発光した光の散乱が主な原因で解像特性が劣化する.この影響は,片面だけに増感紙を用いるシステムより,両面に増感紙を配置するシステムのほうが顕著である.MTFは,上で示したような空間領域における評価と比べると,客観的でしかも詳しい解像特性を評価できることが利点である.
また,直列結合したシステム全体のMTFは,各構成要素のMTFが求まれば,それらの掛け算によって求めることができるので,構成要素の多いシステムの解像特性の解析にも便利である.例えば,増感紙-フィルム系システムでは,X線管焦点の幾何学的ボケと増感紙-フィルム系のボケは直列結合であるので,2つのMTFを掛け算すれば,両方の特性を合わせたMTFが得られる.一方,両面に増感紙を用いるシステムにおいて,前面と後面の増感紙の特性は並列である.この場合は,掛け算ではなく和で考える.
【MTFの測定法】
MTFの測定法は大別すると2つに分けられる.ひとつは,PSFをフーリエ変換して求める「フーリエ変換法」と,いろいろな周期をもつ正弦波の入出力コントラスト比を求める「コントラスト法」である.さらに,フーリエ変換法にはスリット法とエッジ法があり,コントラスト法にはチャート法(矩形波チャート法とも呼ばれる)がある.
フーリエ変換法では,現実的には,PSFを正確に求めることは技術的に難しいので,金属スリットを撮影して得たLSFをフーリエ変換する方法が一般的に用いられており,この方法をスリット法と呼んでいる.これに対し,エッジ法は,エッジを撮影して得られたエッジ像を微分しLSFを求め,それからMTFを測定する手法である.コントラスト法では,いろいろな周期をもつ正弦波の入出力コントラスト比によってMTFを求めることができるが,実際には,異なる周期をもつ正弦波をX線分布で得ることが技術的に非常に困難である.
そこで,いろいろな周期をもつ矩形波テストパターンを撮影して,矩形波の入出力コントラス比を求め,その後コルトマン補正によって正弦波の入出力コントラスト比を求める方法が通常用いられている.この手法は,矩形波レスポンス関数(square wave response function:SWRF)法,または,矩形波チャート法と呼ばれている.フーリエ変換法で求めたMTFと,コントラスト法で求めたMTFは,理論的に一致する.スリット法はおもにアメリカで,矩形波チャート法はおもにヨーロッパや日本でよく用いられている.
【チャート法】
チャート法による増感紙-フィルム系のMTFの測定手順を図9に示す.
図9 チャート法の測定手順
①矩形波チャート
矩形波テストパターンは,薄い鉛箔(50~200ミクロン)で精巧に細工されたいろいろな周期をもつ格子で作られている.
これを1mm程度の厚みをもつ2枚のプラスチック板で挟み込んだ構造をしている.
図10 矩形波チャート像とその写真濃度
X線強度で見た場合は,どの周波数でも一定のコントラストである.
X線写真では高周波になるにつれ,写真濃度のコントラストは低下する.
②特性曲線
フィルム特性曲線の測定は,一般にセンシトメトリと呼ばれている.特性曲線の横軸は(相対)X線量,縦軸は写真濃度である.X線センシトメトリの方法を下表に示す.
距離法やbootstrap法では,撮影時間を一定にし,X線量を距離またはアルミニウムなどのX線吸収体でX線強度を変化させることから,強度スケール法とも呼ばれている.
一方,タイムスケール法では,撮影時間によってX線量を変化させている.詳しくは,このページの最後に付録として記す.
③線形化
増感紙-フィルム系では,X線から光に変換される過程は線形であるが,光がX線フィルムを露光して黒化銀になる過程は非線形である.したがって,X線から写真濃度に変換される系全体は非線形で,入出力の関係は直線では表わされない.そのため,増感紙-フィルム系において,MTFを調べるときには,必ずフィルム特性曲線を用いて,非線形な写真濃度から線形なX線量の領域に変換(線形化)しなければならない.
④矩形波レスポンス関数の測定
特定の空間周波数(u)において測定した最大の写真濃度をau,最低の写真濃度をbuとしたとき(図10),それらをX線量に変換した値をそれぞれImax(u),Imin(u)とする.そして,下記の式(1)から,空間周波数(u)における矩形波テストパターンの出力コントラストCout(u)を求める.
式(1)
ここで,矩形波テストパターンの入力コントラストは,すべての空間周波数において1である(=図10のX線強度でみた場合).したがって,実際には,各空間周波数について,出力コントラストだけを求めれば,入出力コントラスト比を求めたことになる.
そして,矩形波レスポンス関数(SWRF)は,各空間周波数で求めたコントラストCout(u)を矩形波テストパターンに含まれる最も低い空間周波数のコントラストC(0)で正規化することで求めることができる[式(2)].
式(2)
⑤コルトマン(Coltman)の補正
ここまでで求めたレスポンス関数は,矩形波に対するものであるので,厳密にはMTFではない.そのため,矩形波レスポンス関数(SWRF)から正弦波レスポンス関数(MTF)に補正する必要がある.
そのために用いられるのがコルトマンの式である[式(3)].
式(3)

このようにして求められるMTFの値は,SWRFの値より必ず小さくなる.図11にその例を示す.図11は2つの異なるシステムで求めたSWRFとMTFであるが,いずれもコルトマン補正によってMTFはSWRFより低くなっていることがわかる.このことを一般的に,「コルトマンの式で補正を行うとMTFは低下する」などと表現する.
図11 2つの異なるシステムで求めた,SWRFとMTF
|
実験1: 矩形波チャート法によってMTFを測定してみよう. |
|
【目的】 チャート法によるMTF測定法を習得する.
|
付録: センシトメトリ(フィルム特性曲線の測定法)
<距離法>
X線強度が距離の逆二乗則に従って減弱する性質を利用した方法.
点光原,真空中と仮定した場合,ある距離R1でのX線量をI1,ある距離R2でのX線量をI2としたとき,
が成立する(図12).
これは,X線量が距離の二乗のオーダーで減衰することを意味する.
図12 距離の逆二乗則
図13に撮影距離を400cmから40cmまで変化させたときの距離法の例を示す.
この例では,距離400cmを基準として相対X線量を表現している.そして,相対X線量を対数で0.1ずつ変化するように距離を変化させて(21回露光させる),X線量と写真濃度の関係を測定している.
距離の算出計算例:
距離4000mmのときを基準する(相対X線量RE=1.000,log10RE=0.0).
そして,相対X線量の対数(log10RE)を0.1変化させたとき,つまりlog10RE=0.1のときの相対X線量はRE=1.259となる.
ここで距離の逆二乗則に当てはめると
1.000×4000×4000 = 1.259×x ×x
x = 0.8912×4000 = 3565
となる.
このように求めたlog10REを横軸に,そしてそのときの写真濃度を縦軸にプロットすることで,特性曲線が得られる.
距離法では,X線出力の再現性が高いX線発生装置を用いること,そして,正確に距離を変化させることによって,かなり高い精度の特性曲線が得られることが知られている.
難点としては,距離を長く変化させる(3m以上)必要があるため,どうしても広い部屋が必要になることである.
図13 距離法の例
<bootstrap法>
簡便でよく用いられる方法で,アルミニウムなどの吸収体の厚さを変化させることで放射線受光系に入射するX線量を変化させる.アルミニウム階段を1倍とN倍のX線量で撮影し,得られた写真濃度の分布曲線をつなぎ合わせることで,フィルム特性曲線を得る.Nを2とした(2倍)ときの例を図14に示す.AからHまでの写真濃度を順に読み取り,それらを特性曲線の縦軸の値とする.そして,特性曲線の横軸である相対X線量の間隔は,Nによって変わり,その間隔はlog10Nで求められる.
図14では,log102=0.3であることから,横軸の相対X線量の間隔は0.3となる.つまり,(0.0,A),(0.3,B),(0.6,C),(0.9,D)......の各点をプロットしつなぐことで特性曲線が得られる.
このbootstrap法は,距離法のように長い撮影距離を確保する必要もなく,さらに,2回の異なったX線量で撮影するだけでよいので,比較的簡便に測定できる点が利点である.一方,作図中の誤差,隣り合うアルミニウム階段からの散乱X線の影響,各アルミニウム階段を透過したX線の線質が変化することなどが測定の誤差につながる因子として知られている.
図14 bootstrap法の概略図
<タイムスケール法>
撮影時間を変化させることでX線量を変化させる方法.撮影時間を大きく変化させるために相反則不軌*)が問題となることが知られており,増感紙-フィルム系ではあまり用いられていない.しかし,ディジタルX線画像システムでは,X線検出器にフィルムを用いてないので,相反則不軌が問題とならない.したがって,タイムスケール法も距離法やアルミニウム段階を用いた方法と並んで有効な測定方法である.ただし,正確な相対X線量を決めるためには,表示撮影時間と出力X線量との関係を調べて,もしも直線性が崩れている場合には,補正する必要がある.
*)相反則不軌:フィルムに光を露光するとき,露光量(E)を強度(I)と照射時間(t)で表わすと,E=I・tとなる.ここで,Eを一定としたとき,どのようなIとtの組み合わせに対しても一定の写真濃度が得られることを相反則といい,これが成り立たない事を相反則不軌という.
増感紙-フィルム系のX線画像での相反則不軌は,ある露光量を得るために大電流と短時間を組み合わせたときと,小電流と長時間を組み合わせたときに,写真濃度が変化する(感度が変化する)ことに起因する.